İyonlaşma enerjisi

Bilgibank, Hoşgeldiniz
Gezinti kısmına atla Arama kısmına atla
İlk İyonlaşma Enerjisi
İyonizasyon enerjisi (Ei) ile atom numarası arasındaki periyodik eğilimler: Yedi periyot her birinde, bir elementin Ei (renkli daireler) periyodik tablonun (alkali metaller) ilk sütunu için minimumda başladığını ve ilerlediğini unutmayın dikey çizgilerle gösterilen ve soy gaz elementi sembolü ile etiketlenen ve aynı zamanda 7 periyodu bölen hatlar olarak işlev gören son sütun (soy gazlar) için maksimumdadır. İç kabuklar eklendikçe, dış elektron kabuğunun çekirdekten artan mesafesine bağlı olarak, belirli bir sütunda 1. sıradan 7. sıraya doğru ilerledikçe her sıra için maksimum iyonizasyon enerjisi azalır.

Fizik ve kimyada İyonlaşma enerjisi veya iyonizasyon enerjisi, izole edilmiş nötr gaz halindeki bir atomun veya molekülün en gevşek bağlı elektronunu, değerlik elektronunu çıkarmak için gereken minimum enerji miktarıdır. Nicel olarak şu şekilde ifade edilir:

X(g) + enerji → X+(g) + e

burada X, iyonlaşma yeteneğine sahip herhangi bir atom veya moleküldür, X+, bir elektron çıkarılmış olan atom veya moleküldür ve e, çıkarılan elektrondur. Bu genellikle endotermik bir süreçtir. Genel olarak, en dıştaki elektronlar atomun çekirdeğine ne kadar yakın olursa, atomun veya elementin iyonizasyon enerjisi o kadar yüksek olur.

Fizik ve kimya bilimleri, iyonlaşma enerjisinin farklı ölçülerini kullanır. Fizikte birim, tek bir elektronu tek bir atom veya molekülden çıkarmak için gerekli olan ve elektronvolt olarak ifade edilen enerji miktarıdır. Kimyada, birim, bir madde molündeki tüm atomların her biri için bir elektron kaybetmesi için gereken enerji miktarıdır: kilojoules bölü mol (kJ/mol) veya mol başına kilokalori (kcal/mol) eklenmiştir.

Periyodik tablodaki elementlerin Ei'sinin karşılaştırılması iki periyodik eğilimi ortaya çıkarır:

  1. Ei genellikle belirli bir süre içinde (yani sıra) soldan sağa hareket ettikçe artar.
  2. Ei genellikle belirli bir grupta (yani sütunda) yukarıdan aşağıya doğru hareket ettikçe azalır.

Son eğilim, dış elektron kabuğunun çekirdekten aşamalı olarak daha uzak olmasından kaynaklanır ve bir sütun aşağı doğru hareket ederken sıra başına bir iç kabuk eklenir.

N'inci iyonizasyon enerjisi, (n-1) yüküne sahip olan türlerden bir elektronun uzaklaştırılması için gereken enerji miktarını ifade eder. Örneğin, ilk üç iyonlaşma enerjisi aşağıdaki gibi tanımlanır:

1. iyonlaşma enerjisi
X → X+ + e
2. iyonlaşma enerjisi
X+ → X2+ + e
3. iyonlaşma enerjisi
X2+ → X3+ + e

İyonizasyon potansiyeli terimi, iyonizasyon enerjisi için daha eski bir isimdir, çünkü iyonizasyon enerjisini ölçmenin en eski yöntemi, bir numunenin iyonize edilmesine ve elektrostatik bir potansiyel kullanılarak çıkarılan elektronun hızlandırılmasına dayanıyordu. Ancak bu terim artık kullanılmamaktadır. İyonizasyon enerjisini etkileyen bazı faktörler şunlardır:

  1. Nükleer yük: nükleer yükün büyüklüğü arttıkça, elektronlar çekirdek tarafından daha sıkı tutulur ve bu nedenle iyonlaşma enerjisi daha fazla olur.
  2. Elektron kabuklarının sayısı: atomun büyüklüğü arttıkça, elektronlar çekirdek tarafından daha az sıkı tutulur ve iyonlaşma enerjisi daha az olacaktır.
  3. Etkili nükleer yük (Zeff): elektron kalkanı ve penetrasyonu ne kadar büyük olursa, elektronlar çekirdek tarafından ne kadar sıkı tutulursa, elektronun Zeff değeri o kadar düşük olur ve bu nedenle iyonlaşma enerjisi daha az olur.
  4. Yörünge iyonize tipi: daha kararlı bir elektronik konfigürasyona sahip olan atomun elektronları kaybetme eğilimi daha düşüktür ve sonuç olarak yüksek iyonizasyon enerjisine sahiptir.
  5. Yörüngedeki maddeler işgali: yörünge yarı veya tamamen dolu ise elektronları çıkarmak daha zordur.

Değerler ve eğilimler

İç orbitaller için enerji vs Z modelini gösteren etiketler içeren Elementler için Atom Numarası (Z) ve Elektron Bağlanma Enerjileri grafiği.

Genel olarak, (n+1). İyonizasyon enerjisi n. İyonizasyon enerjisinden daha büyüktür. Bir sonraki iyonizasyon enerjisi bir elektronun aynı elektron kabuğundan çıkarılmasını içerdiğinde, iyonizasyon enerjisindeki artış esas olarak elektronun çıkarıldığı iyonun artan net yükünden kaynaklanmaktadır. Belirli bir elementin daha fazla yüklü iyonlarından uzaklaştırılan elektronlar, daha fazla elektrostatik çekim kuvveti yaşar; bu nedenle bunların çıkarılması daha fazla enerji gerektirir. Ek olarak, bir sonraki iyonizasyon enerjisi, bir elektronun bir alt elektron kabuğundan çıkarılmasını içerdiğinde, çekirdek ve elektron arasındaki büyük ölçüde azaltılmış mesafe, hem elektrostatik kuvveti hem de elektronu çıkarmak için bu kuvvetin aşılması gereken mesafeyi arttırır. Bu faktörlerin her ikisi de iyonizasyon enerjisini daha da arttırır. Üçüncü periyot unsurları için bazı değerler aşağıdaki tabloda verilmiştir:

Ardışık iyonlaşma enerji değerleri / kJmol−1
(96.485 kJ/mol ≡ 1 eV)
Element birinci İkinci Üçüncü Dördüncü Beşinci Altıncı Yedinci
Na 496 4,560
Mg 738 1,450 7,730
Al 577 1,816 2,881 11,600
Si 786 1,577 3,228 4,354 16,100
P 1,060 1,890 2,905 4,950 6,270 21,200
S 999.6 2,295 3,375 4,565 6,950 8,490 27,107
Cl 1,256 2,260 3,850 5,160 6,560 9,360 11,000
Ar 1,520 2,665 3,945 5,770 7,230 8,780 12,000


Ardışık molar iyonizasyon enerjilerindeki büyük sıçramalar, soy gaz konfigürasyonlarını geçerken meydana gelir. Örneğin, yukarıdaki tabloda görülebileceği gibi, magnezyumun ilk iki molar iyonizasyon enerjisi (iki 3s elektronu bir magnezyum atomundan sıyırması) üçüncüden çok daha küçüktür, bu da neon Mg2+ konfigürasyonundan 2p'lik bir elektronun soyulmasını gerektirir. Bu elektron çekirdeğe önceki 3'lü elektrondan çok daha yakın.

İyonizasyon enerjisi ayrıca periyodik tablo organizasyonu içinde periyodik bir eğilimdir. Bir süre içinde soldan sağa veya bir grup içinde yukarı doğru hareket ederek, ilk iyonizasyon enerjisi genellikle yukarıdaki tabloda alüminyum ve kükürt gibi bazı istisnalar dışında artar. Çekirdeğin nükleer yükü periyot boyunca arttıkça, atom yarıçapı azalır ve elektron bulutu çekirdeğe yaklaşır.

Elektrostatik açıklama

Atomik iyonizasyon enerjisi, elektrostatik potansiyel ve atomun Bohr modeli kullanılarak yapılan bir analizle şu şekilde tahmin edilebilir (türetmenin Gauss birimleri kullandığını unutmayın).

Bir elektron yükü -e ve yük +Ze lu bir atom çekirdeği düşünün, burada Z çekirdekteki proton sayısıdır. Bohr modeline göre, eğer elektron atomla yaklaşacak ve ona bağlanacak olsaydı, belli bir a yarıçapta dinlenirdi. Sonsuzca uzak bir noktaya atıfta bulunan iyonik çekirdekten a mesafesindeki elektrostatik potansiyel V:

Elektron negatif yüklü olduğundan, bu pozitif elektrostatik potansiyel tarafından içeri çekilir. Elektronun "tırmanması" ve atomu terk etmesi için gereken enerji:

Bu analiz, mesafeyi a bilinmeyen bir değişken olarak bıraktığı için eksiktir. Her kimyasal elementin her elektronuna karakteristik bir mesafe atanarak daha titiz hale getirilebilir, böylece bu ilişki deneysel verilerle uyumlu olur.

Bu modeli, momentumun nicelleştirildiği yarı klasik bir yaklaşım kullanarak önemli ölçüde genişletmek mümkündür. Bu yaklaşım, sadece bir elektronu olan hidrojen atomu için çok iyi çalışır. Dairesel bir yörünge için açısal momentumun büyüklüğü:

Atomun toplam enerjisi, kinetik ve potansiyel enerjilerin toplamıdır, yani:

Coulomb çekimini merkezcil kuvvete eşit olarak ayarlayarak hız kinetik enerji teriminden çıkarılabilir ve şunları verir:

V'nin açısal momentumunu çözerek ve bunu kinetik enerji ifadesine dönüştürerek:

Bu yarıçapın n'ye bağımlılığını belirler. Yani:

Artık enerji Z, e ve r cinsinden bulunabilir. Yukarıdaki toplam enerji denkleminde kinetik enerji için yeni değeri kullanarak şu şekilde bulunur:

En küçük değerinde n, 1'e eşittir ve r, ℏ 'ye eşit olan Bohr yarıçapı a0'dır. Şimdi, enerji denklemi Bohr yarıçapı olarak belirlenebilir. Bunu şu sonucu verir:

Kuantum-mekanik açıklama

Kuantum mekaniğinin daha eksiksiz teorisine göre, bir elektronun yeri en iyi bir elektron bulutu, yani atomik orbital içinde bir olasılık dağılımı olarak tanımlanır. Enerji, bu bulut üzerine entegre edilerek hesaplanabilir. Bulutun altında yatan matematiksel gösterim, moleküler spin orbitallerinden oluşan Slater belirleyicilerinden oluşturulan dalga fonksiyonudur. Bunlar, Pauli'nin atomik veya moleküler orbitallerin antisimetri sonuçları dışlama prensibi ile ilişkilidir.

Genel olarak, n'inci iyonizasyon enerjisinin hesaplanması, elektron sistemlerinin enerjilerinin hesaplanmasını gerektirir. En basit sistemler (yani hidrojen) hariç, bu enerjilerin tam olarak hesaplanması, öncelikle elektron korelasyon terimlerini entegre etmede zorluklar nedeniyle mümkün değildir. Bu nedenle, ampirik verilere kıyasla karmaşıklık (hesaplama süresi) ve doğruluk açısından değişen farklı yöntemler ile rutin olarak yaklaştırma yöntemleri kullanılır. Bu iyi çalışılmış bir problem haline gelmiştir ve rutin olarak hesaplamalı kimyada yapılır. En düşük yaklaşım seviyesinde iyonlaşma enerjisi Koopmans teoremi tarafından sağlanır.

Moleküllerde dikey ve adyabatik iyonlaşma enerjisi

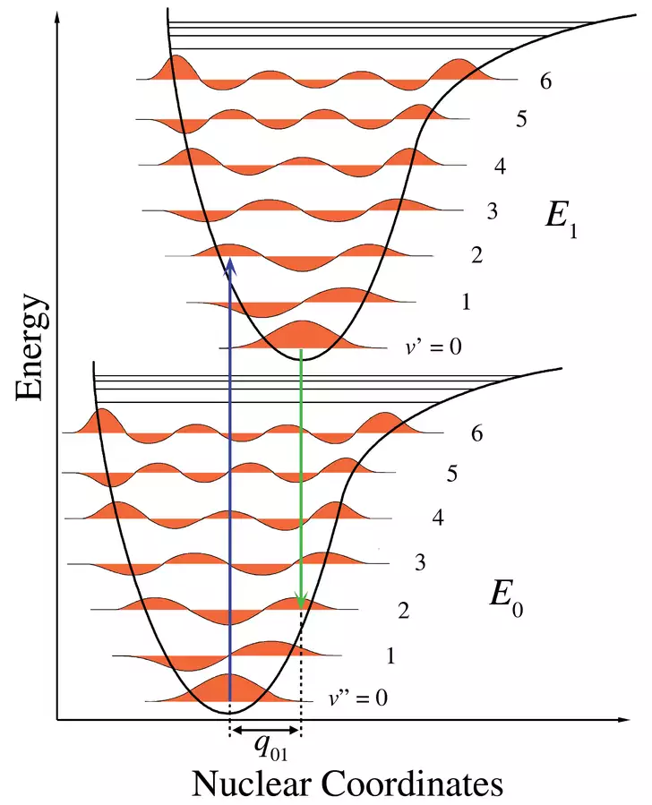
Absorpsiyon ve flüoresansta Franck Condon prensibinin tasviri.
Şekil 1. Franck – Condon prensibi enerji diyagramı. İki atomlu bir molekülün iyonlaştırılması için tek nükleer koordinat bağ uzunluğudur.

Alt eğri, nötr molekülün potansiyel enerji eğrisidir ve üst eğri, daha uzun bağ uzunluğuna sahip pozitif iyon içindir. Mavi ok, molekülün temel durumundan iyonun v = 2 seviyesine kadar dikey iyonlaşmadır.

Moleküllerin iyonizasyonu genellikle moleküler geometride değişikliklere yol açar ve iki tip (ilk) iyonizasyon enerjisi tanımlanır - adyabatik ve dikey.

Adyabatik iyonlaşma enerjisi

Bir molekülün adyabatik iyonizasyon enerjisi, bir elektronu nötr bir molekülden çıkarmak için gereken minimum enerji miktarıdır, yani nötr türlerin titreşimsel taban hali enerjisi (v" = 0 seviyesi) ve ve pozitif iyonun iyonu (v' = 0) ile pozitifin enerjisi arasındaki farktır. Her türün spesifik denge geometrisi bu değeri etkilemez.

Dikey iyonizasyon enerjisi

İyonizasyondan kaynaklanabilecek moleküler geometride olası değişiklikler nedeniyle, nötr türlerin titreşimsel taban hali ile pozitif iyonun titreşimsel uyarılmış durumları arasında ek geçişler olabilir. Başka bir deyişle, iyonizasyona titreşimsel uyarım eşlik eder. Bu tür geçişlerin yoğunluğu, en muhtemel ve yoğun geçişin, nötr molekülle aynı geometriye sahip pozitif iyonun titreşimsel uyarılmış durumuna karşılık geldiğini öngören Franck-Condon prensibi ile açıklanmaktadır. Bu geçiş, potansiyel bir enerji diyagramında tamamen dikey bir çizgi ile temsil edildiğinden "dikey" iyonizasyon enerjisi olarak adlandırılır (bkz. Şekil).

İki atomlu bir molekül için geometri, tek bir bağın uzunluğu ile tanımlanır. Bir elektronun bağlanma moleküler orbitalinden çıkarılması bağı zayıflatır ve bağ uzunluğunu arttırır. Şekil l'de, düşük potansiyel enerji eğrisi nötr molekül içindir ve üst yüzey pozitif iyon içindir. Her iki eğri de potansiyel enerjiyi bağ uzunluğunun bir fonksiyonu olarak çizer. Yatay çizgiler, ilişkili titreşim dalgası fonksiyonları ile titreşim seviyelerine karşılık gelir. İyon daha zayıf bir bağa sahip olduğundan daha uzun bir bağ uzunluğuna sahip olacaktır. Bu etki, potansiyel enerji eğrisinin minimum değerinin nötr türlerin sağına kaydırılmasıyla temsil edilir. Adyabatik iyonizasyon, iyonun titreşimsel taban haline çapraz geçiştir. Dikey iyonizasyon, iyonik durumun titreşimsel uyarılmasını içerebilir ve bu nedenle daha fazla enerji gerektirir.

Birçok durumda, adyabatik iyonizasyon enerjisi genellikle daha ilginç bir fiziksel niceliktir çünkü iki potansiyel enerji yüzeyi arasındaki enerji farkını tanımlar. Bununla birlikte, deneysel sınırlamalar nedeniyle, adyabatik iyonizasyon enerjisinin belirlenmesi genellikle zordur, oysa dikey ayrılma enerjisi kolayca tanımlanabilir ve ölçülebilirdir.

İyonlaşma enerjisinin diğer sistemlere analogları

İyonizasyon enerjisi terimi büyük ölçüde sadece gaz fazlı atomik veya molekül türleri için kullanılırken, bir elektronun diğer fiziksel sistemlerden uzaklaştırılması için gereken enerji miktarını göz önünde bulunduran bir dizi analog miktar vardır.

Elektron bağlama enerjisi

Elektron bağlama enerjisi, herhangi bir yük durumuna sahip türler için kullanılabilen iyonizasyon enerjisi için genel bir terimdir. Örneğin, klorür iyonu için elektron bağlama enerjisi, -1 yükü olduğunda klor atomundan bir elektronun uzaklaştırılması için gereken minimum enerji miktarıdır. Bu özel örnekte, elektron bağlanma enerjisi nötr klor atomu için elektron afinitesi ile aynı büyüklüğe sahiptir. Başka bir örnekte, elektron bağlama enerjisi, bir elektronun dikarboksilat dianyonu O2C(CH2)8CO
2
'dan uzaklaştırılması için gereken minimum enerji miktarını ifade eder.

Çalışma fonksiyonu

Çalışma fonksiyonu, bir elektronun katı bir yüzeyden uzaklaştırılması için gereken minimum enerji miktarıdır.

Kaynak

"Bilgibank.tk" adresinden alınmıştır.